Optical Brightener Agent
PRODUCT NAME:Optical brightener SWN
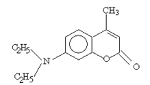
Chemical Name 7-diethylamino-4-methylcoumarin
Molecular Formula C14H17NO2
Molecular Weight 231.3
Structure

CAS Number 91-44-1
Specification Appearance: White crystalpowder
Assay: 99%min (HPLC)
Melting Point:72-74°C
Volatiles Content 0.5% max
Ash content: 0.15%max
Solubility: Dissolve in acid water, ethanol and other organic solvent
Packing 25kg / Fiber drum
Applications Itis used in brightening acetate fiber, polyester fiber, polyamide fiber, aceticacid fiber and wool. It also can be used in cotton, plastic and chromaticallypress paint, and added into resin to whiten the fiber cellulose.
公安备案号31011502009647