Light Stabilizer
PRODUCT NAME: LS791
Characterization LS 791is a synergistic mixture of light stabilizer944 and light stabilizer 770.
It is an excellent light stabilizer especially for PPthick sections, which offers
excellent surface protection. It also shows highstabilization efficiency in PP
tapes.
CASNO. 71878-19-8 / 52829-07-9
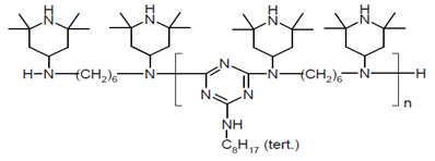
Chemical namePoly[[6-[(1,1,3,3-tetramethylbutyl)amino]-1,3,5-triazine-2,4-diyl][(2,2,6,6-tetramethyl-4-piperidinyl)imino]-1,6-hexanediyl[(2,2,6,6-tetramethyl-4-piperidinyl)imino]])
Structure light stabilizer944

Molecularweight Mn =2000–3100g/mol
Structure Tinuvin770
and
Molecularweight 481g/mol
Productforms Appearance:whitetoslightlyyellowgranules,odorless
Guidelinesforuse Thicksections*: UVstabilizationofPP 0.1–0.8%
Tapes: UVstabilizationofPP 0.1–0.8%
Physicalproperties Meltingrange: approx. 55 °C start
Specificgravity(20°C): 1.0–1.2g/cm3
Flashpoint: >150°C
Applications LS 791areasofapplicationarePP,blendsofpolypropylenewithelastomersandPA:Itcanalsobeusedinstyrenicpolymers,e.g.ABS,impactpolystyrene,etc.
公安备案号31011502009647