Light Stabilizer
PRODUCT NAME: LS111
Characterization LS- 111 isasynergisticmixtureof monomeric lightstabilizer 119andoligomericTINUVIN622.Itis anexcellentUVstabilizerwith outstanding
extractionresistance, lowgasfadingandlowpigmentinteractionUV-111isparticularlywellsuitedfor PP fibers andagriculturalfilmapplications.
ChemicalName/
Composition
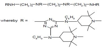
CHIMASSORB119:1,3,5-Triazine-2,4,6-triamine,N,N’’’-[1,2-ethane-diyl-bis[[ [4,6-bis-[butyl(1,2,2,6,6-pentamethyl-4-piperidinyl)amino]-1,3,5-triazine-2-yl]
imino]-3,1-propanediyl]]bis[N’,N’’-dibutyl-N’,N’’-bis(1,2,2,6,6-pentamethyl-4-piperidinyl)
TINUVIN622:Butanedioicacid,dimethylester,polymerwith4-hydroxy-2,2,6,6-tetramethyl-1-piperidineethanol
Structure light stabilizer 119

Molecularweight 2286 and
TINVUIN622

Molecularweight Mn=3100-4000
Product Forms
Appearance: whitetoslightlyyellowpastilles
Guidelinesforuse:
Films UV stabilizationofmulchfilms 0.50-1.15%
Fibers UV stabilizationof PP fibers 0.10 - 1.00 %
PhysicalProperties Melting Range 115-150oC
Flashpoint >275oCASTM D92-78
BulkDensity 470-570g/l
Applications LS111 areasofapplicationincludepolyolefins(PP,PE),olefincopolymers suchasEVAaswellasblendsofpolypropylenewithelastomers.
公安备案号31011502009647